上海小学教师资格证考试满分多少分?
- 时间:
- 2020-04-20 16:03:45
- 作者:
- 娄老师
- 阅读:
- 来源:
- 上海教师资格证
【导读】上海小学教师资格证考试满分多少分?教师资格考试笔试每个科目满分均为150分。教育部根据考试标准和当次考试情况,确定各科目全国统一的合格分数线。由于各个科目难度存在差异,其合格分数线不尽相同。为统一各科目的合格分数线,采用线性转换的方法,将考生0~150分量表上的原始成绩换算为0~120分量表上的转换分,并使各科目的合格分数线统一转换为70分。

1、统考教师资格证笔试卷面满分150分,合格分数在90分数线左右。
2、但一般会把分数换算成100分制,此时合格分数线为70分。
3、面试没有具体分数,只显示合格不合格。
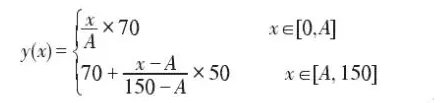
分数转换方法如下:设某科目原始成绩合格分数线为 A(0
(0≤x≤150),则转换分y(x)(0≤y(x)≤120)的计算公式为:向左转|向右转

举例来说,设两个科目的合格分数线分别为 A1和 A2,则转换分 y(x) 关于原始成绩x的函数图像如图1所示:
向左转|向右转

通过上述线性转换,各科目的合格分数线均转换为70分,且转换不改变考生成绩的高低顺序。原始成绩低于合格分数线的考生,换算后的转换分在70分以下;原始成绩高于合格分数线的考生,换算后的转换分在70分以上。
以上就是上海小学教师资格证考试满分多少分的全部内容,考生如果想获得更多关于上海教师资格证相关资讯,如教师资格证报名时间、考试时间、报考条件、面试时间以及相关知识,敬请关注我上海教师资格网。更多上海教师资格证考试信息关注上海教师资格网(www.shjszg.com)
未经授权不得转载,如需转载请注明出处。
