2018上半年教师资格证考试真题答案解析:初中数学
- 时间:
- 2018-08-16 16:50:53
- 作者:
- 娄老师
- 阅读:
- 来源:
- 上海教师资格证
1、……下列命题不正确的是 (5分)
正确答案:D.有理数集是有界集
2、……设a,b为非零向量,下列命题正确的是 (5分)
正确答案:A.
垂直于![]()
3、……设f(x)为...,则下列命题不正确的是 (5分)
正确答案:D.
在
上可导
4、……若矩阵...则线性方程组...解的个数 (5分)
正确答案:B.1
5、……边长为4的正方体木块,各面均涂成红色...恰有两面为红色的概率是 (5分)
正确答案:A.![]()
6、……在空间直角坐标系中,双曲柱面...的交为 (5分)
正确答案:B.两条平行直线
7、……下面不属于“尺规作图三大问题”的是 (5分)
正确答案:D.作一个正方形使之面积等于已知正方形面积的二倍
8、……下列函数不属于初中数学课程内容的是 (5分)
正确答案:C.指数函数
请选择本题的作答情况: 得分不得分
二、简答题
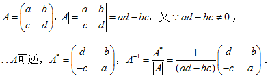
9、……若ad-bc≠0,求
逆矩阵 (7分)
正确答案:【答案】
10、……求二次曲面
过点(1,2,5)的切平面的法向量 (7分)
正确答案:【答案】
11、……设...是R到R的函数,...是函数集合...证明D是V到V上既单又满的映射。(7分)
正确答案:答案暂无
12、……简述选择中学数学教学方法的依据。(7分)
正确答案:【参考答案】教学方法是为了完成教学任务,达到教学目标,所采取的教与学的方式和手段,它包括教师教的方法和学生学的方法,是教师引导学生掌握知识技能,获得身心发展而共同活动的方法.一方面是教学客观的需要与实现,为目的而创造方法,另一方面是主观的选择和创造.选择中学数学教学方法的依据有:①符合教学规律和教学原则;②符合教学目标和任务;③符合教学内容的特点;④符合学生的发展水平;⑤符合教师的特长;⑥符合教学的经验性. 另外选择教学方法应考虑:=①教学内容及相应的教学目标;②各种不同层次的学生;③各种教学方法的特点.13、……简述你对《义务教育数学课程标准(2011年版)》中“探索并证明三角形的中位线定理”这一目标的理解。(7分)
正确答案:【参考答案】三角形的中位线定理:三角形的中位线平行于三角形的第三边,并且等于第三边的一半. 三角形中位线定理的得出是平行四边形判定定理和性质定理的直接应用,它在图形证明和计算中有广泛的应用. 首先学生对于推理证明的基本要求、基本步骤和方法已经初步掌握,对于三角形中位线定义一般也在同一小结内进行了学习,这对于学生接下来学习三角形中位线定理的证明有一定的帮助.齐次三角形中位线定理是三角形的重要性质定理.要让学生理解这个定理的特点是:同一个题设下,有两个结论,一个结论表明数量关系.应用这个定理时,不一定同时用到两个结论,有时用到平行关系,有时用到倍分关系,做到根据具体情况,灵活应用.
三、解答题
14、……设f(x)是R上的可导函数,且f(x)>0. (1)求lnf(x)的导函数(4分)(2)已知... 且f(0)=1,求f(x)(6分)
正确答案:(1)
;
(2)
四、论述题
15、……《义务教育数学课程标准(2011年版)》在数学建议中指出应当处理好“面向全体学生与关注学生个体差异的关系”,论述数学教学中如何理解和处理这一关系。(15分)
正确答案:【参考答案】教学活动应努力使全体学生达到课程目标的基本要求,同时要关注学生的个体差异,促进每个学生在原有基础上的发展. ①对于学习有困难的学生,教师要 A.给予及时的关注与帮助; B.鼓励他们主动参与数学学习活动,并尝试用自己的方式解决问题、发表自己的看法; C.要及时地肯定他们的点滴进步; D.耐心地引导他们分析产生困难或错误的原因,并鼓励他们自己去改正,从而增强学习数学的兴趣和信心。 ②对于学有余力并对数学有兴趣的学生,教师要为他们提供足够的材料和思维空间,指导他们阅读,发展他们的数学才能。 ③在教学活动中,要鼓励与提倡解决问题策略的多样化,恰当评价学生在解决问题过程中所表现出的不同水平。 ④问题情境的设计、教学过程的展开、练习的安排等要尽可能地让所有学生都能主动参与,提出各自解决问题的策略。 ⑤引导学生通过与他人的交流选择合适的策略,丰富数学活动的经验,提高思维水平。
五、案例分析题
16、……在有理数运算的课程教学片断中,某学生的板演如下...问题:(1)请指出该生解题中的错误,并分析产生错误的原因(10分)(2)针对该生在解题中的错误,教师呈现如下两个例题...请分析例题1、例题2中每一步运算的依据。(10分)
正确答案:【参考答案】(1)学生在计算过程中错把
算成了
,应该是
。出现这样的错误,有以下几个原因:①学习有理数,特别是负数时,没有完全理解正数和负数的概念,没能将正数负数和相反数这些概念联系起来。②学生对于符号的认识和理解不够全面,比如负号,除了当做减号进行运算外,还可以表示负号,相当于一个数的相反数。③由学生的回答,可以看出学生对于负数的运算法则和运算律掌握不扎实,在老师询问时出现了混淆混乱的情况。④教师本身在教学过程中也存在一些问题,在新课讲解过程中,对学生的预设不足,针对于学生难以理解的知识点,没有进行更加细致和通俗的讲解。(2)例1是有理数的减法,第一步是利用有理数法法则,减去一个数等于加这个数的相反数,转化为加法,第二步是同号有理数加法,取相同的符号,然后把绝对值相加。题中是提取出了负号,放在括号外面,把-1和![]()
的绝对值相加。 例2是有理数的减法,不过不同的是第二个数不同。第一步利用有理数的减法法则,减去一个数等于加这个数的相反数,转化为加法,得到
。而这个式子需要利用有理数的加法,不同的是这个式子为两个异号的有理数相加,因为-1和
绝对值不等,取绝对值较大数的符号,即负号,并用较大的绝对值减去较小的绝对值,即
,从而得到结果。
六、教学设计题
17、……加权平均数可以刻画数据的集中趋势。《义务教育数学课程标准(2011年版)》要求“理解平均数的意义”...(1)设计一个教学引入片断,体现学习加权平均数的必要性(12分)(2)说明加权平均数的“权重”的含义(6分)(3)设计一道促进学生理解加权平均数的题目,并说明具体的设计意图 (12分)
正确答案:【参考答案】(1)利用多媒体出示一则招聘启事:我公司招聘一名员工,平均工资2060元.李刚前去应聘,结果发现工资没有2060元,去找老板理论,老板给李刚看工资表:

引导学生思考:①招工启事中说月工资2060元是否欺骗了应聘者? ②这个平均工资能否客观的反映工人的一般收入? ③若不能,你认为用什么工资反映普通工人的一般收入比较合适? (2)在计算加权平均数时,权数可以表示总体中的各种成分所占比例:权数越大的数据在总体中所占的比例越大,它对加权平均数的影响也越大.在计算加权平均数时,常用权数来反映对应的数据的重要程度:权数越大的数据越重要. (3)某单位欲从内部招聘管理员一名,对甲、乙、丙三名候选人进行了笔试和面试两项测试,三人的测试成绩如下表所示:

(1)如果根据三项测试的平均成绩确定录用人选,那么谁将被录用? (2)根据实际需要,单位将笔试、面试、民主评议三项测试得分按4:3:3的比例确定个人的成绩,那么谁将被录用? (3)思考算术平均数与加权平均数有什么联系和区别呢? 学生通过观察思考后不难得出:算术平均数和加权平均数本质上是一样的,算术平均数可以看做权重相同的加权平均数.所以,算术平均数是特殊的加权平均数. 设计意图:因为小学阶段学生已经基本掌握了算术平均数,而算术平均数的认识对于加权平均数的理解是非常有帮助的.所以,在具体的教学中,建议更多的着墨于加权平均数的理解,以及算术平均数和加权平均数的联系和区别上,淡化了算术平均数的概念和计算.另一方面,学生对于自己总结归纳的知识感受会更深刻,更鲜活,因此让学生通过观察后自己总结归纳,教师在学生的基础上予以提升和完善.
