上海教师资格笔试成绩是怎么算的?
- 时间:
- 2021-09-18 11:06:12
- 作者:
- 潘老师
- 阅读:
- 来源:
- 上海教师资格证
【导读】上海教师资格笔试考试成绩算法是不少小伙伴都不清楚,不知道在看这篇文章的你,懂了吗?今天上海教师资格网让大家了解了解!

分数是怎么转换的
根据每年的考试难度划分的统一合格线,这个合格线只有在阅卷结束后才能确定。确定后会根据这个合格线来将考生的卷面分转换为报告分。
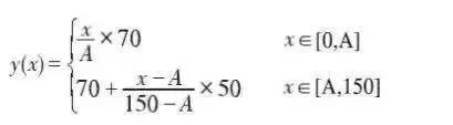
虽然划分标准没有公布,但是分数转换采用了一个分段函数来计算。

举例来说,设两个科目的合格分数线分别为 A1和 A2,则转换分 y(x) 关于原始成绩x的函数图像,如下图所示:

假设分数线A是90分,换算之后有三种情况:
①如果你的卷面成绩是100分,属于[90,150]区间,用下面的公式来计算,得出来的报告分(y)就是78.33,高于70分,你的本科目笔试合格。
②如果你的卷面成绩是88分,属于[0,90]区间,采用上面的公式来计算,得出来的报告分(y)是68.44,低于70分,你的本科目笔试不合格。
③如果你的卷面成绩是90分,分数线A也是90分,上面和下面的公式都能用,算出来的报告分是70分,你的本科目笔试成绩合格。
因此,大家在估分的时候,成绩大于90分才是有可能通过的。
注:这里的大于90分及格是因为我们假设的及格分就是90分,但综合素质的题目较为简单,大家的分数普遍都很高,建议大家以卷面分100分作为目标哦。
以上就是上海教师资格笔试成绩是怎么算的?想了解更多如上海教资常见问题、报考条件、报名时间、报名入口、笔试面试、考试真题等上海教师资格证考试资讯,敬请关注上海教师资格网。
