2020年上海教师资格证要考多少分才合格?
- 时间:
- 2020-08-28 15:55:26
- 作者:
- 曾老师
- 阅读:
- 来源:
- 上海教师资格证

有些考生会觉得,教资考试满分150分,70分左右就能合格,那只要做对了一半就通过了,这么简单随便考考就行了吧?可其实,教资考试的卷面满分是150分,报告满分是120分,报告合格分才是70分。那么问题来了,平时到底要考多少分才算合格?
教资报告分要怎么算?
根据下图教师资格证笔试成绩示例,教师资格证报告分满分120分,70分及以上为合格。

教师资格证考试卷面分为150分,教育部根据考试标准和当次考试情况,确定各科目全国统一的合格分数线。
由于各个科目难度存在差异,其合格分数线不相同。为统一各科目的合格分数线,采用线性转换的方法。
将考生0~150分量表上的原始成绩换算为0~120分量表上的转换分,并使各科目的合格分数线统一转换为70分。
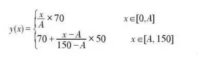
分数转换方法如下:设某科目原始成绩合格分数线为 A(0 < A < 150),若考生在该科目的原始成绩为x(0 ≤ x ≤ 150),则转换分y(x)(0 ≤y(x) ≤ 120)的计算公式为:

举例来说,设两个科目的合格分数线分别为 A1和 A2,则转换分 y(x) 关于原始成绩x的函数图像如图所示:

通过上述线性转换,各科目的合格分数线均转换为70分,且转换不改变考生成绩的高低顺序。
原始成绩低于合格分数线的考生,换算后的转换分在70分以下;原始成绩高于合格分数线的考生,换算后的转换分在70分以上。
考多少分才能保证合格?
整体而言,科目一的保守卷面分数应该处于90+,科目二的保守卷面分数应该处于85+。
但是,教师资格证考试本质上是一场竞争性的考试。
根据之前的教资通过率数据分析,往年教资通过率大概为30%左右。
所以分数自然是越高越好。如果尴尬的卡在及格线上,很容易陪跑。
并且今年因为疫情的原因只有一次教资考试,加上“先上岗,后考证”也有时间限制,下半年报考人数会刷新往年记录。
所以各位考生一定要尽早准备,努力备考!
【导读】2020年上海教师资格笔试10月31日考试,目前关于教资考试通过率有着各种不同的说法,针对这一问题,上海教师资格网为大家整理了以下资料。
有些考生会觉得,教资考试满分150分,70分左右就能合格,那只要做对了一半就通过了,这么简单随便考考就行了吧?可其实,教资考试的卷面满分是150分,报告满分是120分,报告合格分才是70分。那么问题来了,平时到底要考多少分才算合格?
教资报告分要怎么算?
根据下图教师资格证笔试成绩示例,教师资格证报告分满分120分,70分及以上为合格。
教师资格证考试卷面分为150分,教育部根据考试标准和当次考试情况,确定各科目全国统一的合格分数线。
由于各个科目难度存在差异,其合格分数线不相同。为统一各科目的合格分数线,采用线性转换的方法。
将考生0~150分量表上的原始成绩换算为0~120分量表上的转换分,并使各科目的合格分数线统一转换为70分。
分数转换方法如下:设某科目原始成绩合格分数线为 A(0 < A < 150),若考生在该科目的原始成绩为x(0 ≤ x ≤ 150),则转换分y(x)(0 ≤y(x) ≤ 120)的计算公式为:
举例来说,设两个科目的合格分数线分别为 A1和 A2,则转换分 y(x) 关于原始成绩x的函数图像如图所示:
通过上述线性转换,各科目的合格分数线均转换为70分,且转换不改变考生成绩的高低顺序。
原始成绩低于合格分数线的考生,换算后的转换分在70分以下;原始成绩高于合格分数线的考生,换算后的转换分在70分以上。
考多少分才能保证合格?
整体而言,科目一的保守卷面分数应该处于90+,科目二的保守卷面分数应该处于85+。
但是,教师资格证考试本质上是一场竞争性的考试。
根据之前的教资通过率数据分析,往年教资通过率大概为30%左右。
所以分数自然是越高越好。如果尴尬的卡在及格线上,很容易陪跑。
并且今年因为疫情的原因只有一次教资考试,加上“先上岗,后考证”也有时间限制,下半年报考人数会刷新往年记录。
所以各位考生一定要尽早准备,努力备考!
以上就是关于2020年上海教师资格证要考多少分才合格的全部内容,考生如果想获得更多关于上海教师资格证相关资讯,如上海教师资格证报名时间、考试时间、报考条件、面试时间以及相关知识,敬请关注我们上海教师资格网。更多上海教师资格证考试信息关注上海教师资格网(www.shjszg.com)或扫右下侧二维码关注我们微信公众号。点击【在线咨询】咨询老师免费领取考试资料!
